Do you have any creative skills but think you’re not good enough at your craft to earn money from it? You might be wrong about that. If you can make graphics on your computer, take an interesting photo, or shoot a quick video, you might be able to sell the rights to use your pieces in the microstock industry. Keep reading to learn more about what this industry is and how you can find your place in it.
What is microstock business
It’s no secret that thousands of blogs, news and magazine articles, advertisements, websites and more are published every day. All of these works generally incorporate images, video or audio to boost the appeal of the final piece. However, it’s often impractical for the people working on these projects to create these things themselves. A home and gardening blogger running a piece on azaleas usually doesn’t have time to seek out some azaleas to photograph, get the right shots, edit them properly, and add them to the blog post - by the time they finished all of that, they could have published several more blog articles instead.
The microstock industry connects these people with ready-made creative assets that they can use in their projects simply by paying a small fee. This is done through the use of agencies who accept work from hundreds or thousands of individual artists and then market and sell that work on their behalf. If you submit a piece to one of those agencies, you immediately become part of this industry too.
Can you earn money on microstocks
The short answer - you can. But you should understand that there’s no “free lunch”. Those are not “easy money” (otherwise everybody would be doing that, right?). It’s a kind of a job on its own, for which you need to have a certain amount of skills, luck, and a moat (more on that later).
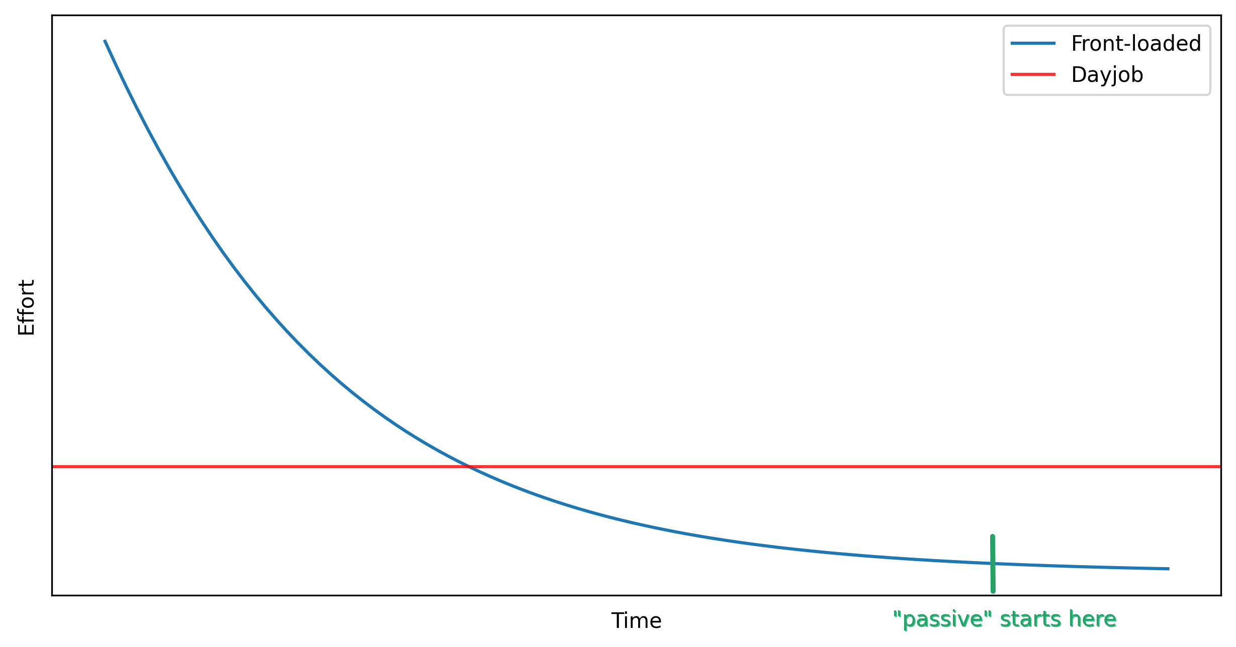
Understanding “passive” income
Passive income in microstock is really the ultimate goal but it may take many years before achieving the desired result. In a nutshell, it’s passive because the content can continue to earn money for the creator over time, without requiring any additional effort beyond the initial creation and upload process. You’re really working in advance to earn money sometime in the future, which can be challenging for those who are used to earning in the present for their efforts.
For 'passive' income, effort to start is the largest
The good news is that passive income is possible and feels great to go for many weeks/months without any additional effort and just receive payments into your PayPal account. This feels especially great for images which were taken long ago and have now turned vintage.
Now for the realistic news. You probably won’t achieve anything close to resembling passive income during first few years, as discussed in this blog post, which includes a case-study of a veteran contributor with 15,000 images and 369,000 sales over the lifetime. So you should not feel disappointed if that does not work out instantly.
What do you need to do to start
Find your competitive advantage
Just like in a business, you need some sort of a moat. To have a chance to succeed on microstocks you need to have something that others don’t have. You don’t need to be better than everybody in general, but you need to have an advantage somewhere.
Maybe you have access to some very unique job/people/equipment that can become your niche. Maybe you have some skills that others don’t have. Or maybe you have just more “free” time that you can invest into learning than others (e.g. some people get into microstocks when they become a stay-at-home mom/dad).
In any event, there has to be something, as it’s unwise to just go there and hope for the best.
Target the top agencies (initially)
There are literally dozens of microstock agencies to upload but you’ll quickly find that most of your sales will come from just a few top agencies. Take for example the following breakdown of earnings in 2022 between agencies for a contributor with just over 10,000 images and just over 1,500 clips.
As you can see from the above, 95% of earnings come from the top 4 agencies with almost half of earnings coming from Shutterstock alone. Second place is a close battle between iStock and Adobe Stock, followed by Alamy (which specialize more in editorial photos) at a distant fourth.
You can find the full list of top agencies, together with the registration links, here.
Some agencies require you pass an exam
Depending on the agency, after registering, you may have to pass an exam to ensure that your image is technically sound. “Passing an exam” means you will need to upload “your 10 best works” and wait until they will get reviewed. Upon reviewal, if you’re approved, you will be granted access to the contributor area. If you’re not approved, you will need to wait up to 6 months to try again. In the meantime, you can try to register elsewhere.
It (almost) does not matter where you start
If you’re new to this, you need to start somewhere. Most probably you won’t earn a fortune right away, so don’t worry about the “opportunity loss”. It will pay later to understand the mechanics of the process, the keywording and uploading and the content review process.
As for agencies, outside the top-four, should you bother with the smaller agencies, such as 123RF, CreativeMarket, Dreamstime, DepositPhotos, etc.? After all, more potential buyers will see your work.
While this will be a distraction initially, later on it can improve your earnings. As we’ve investigated in the this blog post, “smaller” agencies in the end bring 20-30% of the total income. Also different agencies tend to sell different content, which is anther great way to diversify.
Understand how to do keywording
To prepare your artwork for sales on microstocks, you need to attach metadata to it. Metadata (data about data), in this case, the “Description” and “Keywords”, is information that describes the actual data (your photo, illustration or video). You can enter those on the agency website or using special tools (more on that later).
Entering metadata on Shutterstock.com
This description (“keywords”) can make or break your sales. Yes, it is not enough to just have the greatest content, you also need to help the buyers to find it. Even with the rise of AI, agencies still depend on authors for good keywording of things that AI does not “see” in the picture (i.e. reading between the lines).
“good” keywords do not necessarily are those that just describe every single object on your picture or illustration in the most precise and correct way. Good keywords serve a purpose: to target a certain type of buyer with a certain buying intent.
To learn more about keywording, a good start will be this blogpost.
Use the right tool for the job
You may wish to keyword and upload manually, but that’s just a huge waste of your time. One way to make your life easier to submit to even the smallest of stock agencies is using a specific software like Xpiks.
The reason why you need such software is because agencies can read keywords and descriptions from the file itself, if it is saved in a certain way. Therefore if you save the file once with keywords, later you may use it in all agencies, without the need to enter metadata in each of them. And Xpiks allows you to do it just that.
Also Xpiks can help you to prepare files for microstocks correctly (e.g. to check for agency-specific rules) and save your time with parallel uploading to all of them.
Learn the ropes
Microstocks business has a lot of tricks to it and it takes time to learn. Here are just a few things that can accelerate your path.
Dealing with rejections
All content uploaded to agencies is checked for quality control, either by a human or AI (or a combination of both). The following are the most common types of rejection reasons and their descriptions.
| Rejection reason | Description |
|---|---|
| Technical issues | Problems with exposure, focus, sharpness, noise, and color balance |
| Composition | Poorly composed images that are cluttered or have distracting elements |
| Intellectual property rights | Images that contain copyrighted material, trademarks, or logos without permission, or depict identifiable people or private property without a model or property release |
| Lack of commercial appeal | Images that are too niche or lack marketability |
| Similarity to existing content | Images that are too similar to existing content in the agency’s collection |
| Poor image quality | Images that are too small, low resolution, or have artifacts |
| Inappropriate content | Images that contain offensive or controversial content, such as violence, hate speech, or sexually explicit content |
Rejections are very frustrating and get ready to get many of them initially! However, they are also a learning opportunity and you can grow by overcoming them. We have reviewed earlier the most common photo and vector rejection reasons in this blog and what to do with them.
Facing the competition and choosing a niche
Perhaps you’re competent with your gear with a good eye for lighting and capturing emotions. You upload your content on social media and achieve loads of likes and follows. You may wish to try to replicate this success in the microstock industry and earn some money.
To set expectations, keep in mind that microstock is a professional industry and you’re competing against top contributors. A quick search for top results within your niche should give you an indication of the standard (both technically and keywording) you’ll need to achieve and ideally exceed to stand a chance. Perhaps you may want to choose another less competitive niche.
One pattern that you may see within the top results of your searches is that the highest-earning contributors have honed in on a niche and not by accident. I won’t go into detail on what is a niche and how to hone in on one as enough has been written about it (e.g. here).
In summary, a profitable niche basically comes down to three key elements. The content has a strong demand, is in limited supply and you enjoy shooting it (or perhaps you’re an illustrator and enjoy drawing), which means you’ll hopefully excel at it.
Aerial drone surfing shots in Portugal: a niche case study
For a practical example, one of my niches is shooting aerial drone images of surfers in Portugal. So, let’s go through the three steps:
- Is there a strong demand for aerial photos of surfers? Yes, it seems so. It’s a popular sport, especially in Portugal which produces ideal conditions for surfers. For sake of completeness, I searched on Google Trends for interest over time for “surf, Portugal” and seems to be trending, especially since Nazare in Portugal produces some of the largest waves in the world, usually in the wintertime:
- Is there a limited supply? A quick search on Shutterstock indicates that there are 2,790 hits for
"aerial, surf, Portugal". Not too many hits probably because drones are still relatively new. Therefore, it may be quite easy for my images to reach the first page where most of the buyers can see it. Now, would be better if I reached also the first page for just"aerial, surf"but that produces over 59,000 hits. - Do I enjoy shooting this type of content? Of course, I do and it certainly shows. I also have quite ready access to the locations which is great also to cut down on travel costs. This is another valuable tip in that you’ll want to have easy access to your niche.
Selling shots of people or property
It’s no secret that photos/videos with people sell better than many others. However, there’s a small trick to it. When there are “identifiable” people (or property) in your shot or video that you want to sell, you need to obtain a model or property release. It’s a legal document signed by the model (or owner of the property) where they state that they agree for you to sell the picture.
We have a separate blogpost about model releases, which you can consult to learn more.
Getting paid
After all your hard work and efforts, including resubmitting rejected images, you’ll want to get paid. Most agencies have a minimum amount set to be paid, such as $25-50 and different ways you may be paid, including PayPal, Skrill and Bank transfer.
To get paid, you need to fill your tax information. Most microstock agencies are based in US and they deduct taxes automatically before you get paid. Note that when you receive income, you will also need to pay taxes in your home country. And to eliminate the double taxation (first automatic one in US and 2nd in your home country) you need to fill some tax forms on each of the agencies websites. US has double-taxation treaties with the majority of the civilized countries, which you can exercise through W8-BEN form (Certificate of Foreign Status) if you’re not a US person.
Conclusion
Hopefully after reading this article you have a better idea what do you need to do and turn those files gathering digital dust into cash. You should not stop learning though as there’s a lot to this side-hustle that takes time to grasp. Best of luck in your microstock journey!
